扫二维码与项目经理沟通
我们在微信上24小时期待你的声音
解答本文疑问/技术咨询/运营咨询/技术建议/互联网交流
上课体验好。课程采用双师模式,有助于提供个性化服务水平,及时反馈学生情况。同时采用“七步教学法”让孩子高效学习,有效练习。

采用互动式课堂+趣味性教学,给孩子沉浸式体验,对于复杂的知识,帮助学生容易理解。比如抽象物理课等采用 虚拟实验室 + 还原真实场景 的方式,数学采用画板软件配合相应的课程体系大招,动态演绎让解题思路看得见。

家长随时监督。通过关注绑定公众号的形式,作业提供了学习报告业务功能,让家长随时随地全面了解孩子的学习状况。在释放家长时间和精力的同时可培养孩子独立学习的意识和习惯。

3.3.3 师资
作业帮名师阵容强大,师资力量强。直播课六轮筛选严选名师,90%主讲老师毕业于重点高校及师范院校。6轮严格筛选师资,录取率不足3%, 主讲老师平均教龄5年以上,老师教学好评率95%以上。在线授课老师简历透明,提供教师资格证编号。而且教学视频内容家长也可以看,可以试听,自我鉴定,也可给老师评价、打分。相比线下机构更放心。

平台解除了地域限制,可以在更大范围内解决教师供给,同时老师可以集中统一管理,效率提高。一个老师利用互联网可以服务更多学生,给予老师更大的提升空间和能力挑战,教师薪资也大幅攀升。
3.3.4 交流社区
作业帮提供了社区交流服务,K12阶段的同学分享学习心得体会,分享学习笔记,养成良好的学习习惯。

从以上分析可以知道,作业帮平台解决了各个环节的痛点。通过“拍照解题”的方式迅速解决了孩子作业难的问题,同时提供了丰富的课程体系,良好的课程体验,给孩子营造了优质的学习氛围。家长通过学习报告及时了解学生学习情况,通过平台深入了解老师的实力水平,让家长更放心,更省心。平台更大范围内解决教师供给,老师负责更多的学生,给予挑战的同时,提升了薪资水平。
04 核心业务分析目前作业帮的核心业务就是提供K12线上教育服务。总体来看,作业帮业务发展符合“互联网三级火箭”的理论:
第一级火箭: 通过做好“拍照搜题”的工具。做到了头部流量。这一级火箭是高频使用的。
第二级火箭: 扩展业务矩,构建自己的K12生态,提供K12线上服务。
第三级火箭: 通过售课,VIP充值等方式实现商业变现。
从上可以看出,作业帮业务最终导向是实现营收。因此我可以借鉴电商领域最常用的数据指标GMV来分析作业帮的核心业务与营收的情况。
其营收指标模型,满足 GMV = (用户数 * 转化率)× 客单价 的关系:

下面,我们对以上模型的指标因素进行逐一剖析。
4.1 提升新增用户数作业帮是如何保证新用户源源不断的输入的呢?
通过外部投放增长:与电视节目合作,比如《开学第一课》、电视剧《安家》等。在互联网平台推广,比如在知乎,抖音,微博, 微信公众号等。作业帮还自制节目推广,比如发布MV《与你一起静待春暖花开》。也有跟神州专车、中国移动等知名企业合作推广。由于作业帮具有流量、海量用户数据优势,这助于作业帮广告精准投放。
通过内部内容增长: 0元课、3元课等廉价的的课程以及免费资料包等方式吸引用户。《百家讲坛》纪连海、北师大教授康震、著名作家刘墉等各领域具有IP效应名师入驻作业帮引对用户引起关注。同时也包括通过作业帮APP自身的“拍照搜题”等高频且刚需工具的使用和分享形成的自然增长。
通过口碑增长:用户在作业帮平台获得良好的的用户体验后,愿意分享并推荐给身边的用户用户,这种口碑的推广成本低且健康。作业帮在业内比较认可,获得了很多奖项和良好的口碑,比如:“2019年度知名在线教育品牌”、“2019中国最具传播力在线教育品牌”、“2019中国好老师满意课程”、“2018年度家长新来课外辅导品牌”等。在中小学教育APP排行榜,作业帮连续多年位居榜首,赢得了家长和学生的信赖。
4.2 提高转化率大量用户来到平台后,需要引导消费者进行消费才能转化为付费用户,产生经济效益。我们下面分析下作业帮是如何做的。
VIP更优质服务。满足普通用户的基础上,作业帮为VIP用户提供了全面且有质量的服务,这种VIP服务跟普通用户服务存在一定的差异性。为了更好的满足自己的求知欲望,很多用户会选择VIP会员。
安排好体验课用户。作业帮提供免费试听精品课,小学初中学科年级任选。这个过程让用户享受优质教学体验的同时,系统再分配辅导老师微信,这样转化为私域流量,提供更加精细化的服务,增加信任,这个环节的方方面面把用户“安排”好。
尽可能的打消用户购课顾虑。购课后不满意可以在作业帮app内或拨打直播课客服热线申请退款。三年内可以无限次观看回放。 并且通过优送惠券、送礼包的方式,降低用户购课成本,刺激用户消费。
4.3 提升客单价那么作业帮是如何提高客单价的呢?
进一步提高附加值的价值。作业帮在保证普通用户满足搜题的需求前提下,进一步提高VIP会员的附加值。相对基础用户增加了很多“超值”,比如视频讲解, 数量级别达到百万个;问答,专业团队解答,提升效率;讲卷,精选上百套,名师逐题讲解;资料: 40多万套;上百本独家图书;作文: 手把手教写作;优惠券: 每月两张,优惠力度大;知识点课程:覆盖各个年级,学科等。VIP特权功能如下图:

课程层级扩大。作业帮目前主推“双师直播课”,涵盖所有K12阶段课程。每个年级同样的课程还细分不同层级,对应不同价格。比如英语寒假二轮复习班的课程体系,目标985班(难度4星)标价为599。逆袭班(难度2星)标价1998元。针对性增强,用户购课使用后,可以根据当前的体验继续选择下次课程等级,让用户一直有选择,从而“黏”在平台,提升复购率。 当前寒假英语二轮复习班课程层级如下图所示:

由上分析可以知道,作业帮对营收模型的各个因素做了很多探索和优化,从目前来看效果明显。下面笔者带领大家分析下这个营收模型的利弊和面临的挑战。
优势: 流量大,护城河深
作业帮的在线教育模式可复制性比较强,但是作业帮题库庞大,用户流量大,护城河深。国内权威数据公司QuestMobile曾发布中国互联网2019年度荣誉榜单,在“2019中国移动互联网top 30赛道No.1 APP”评选中,作业帮APP以月活跃用户过亿的规模拿下在线教育赛道第一。作业帮用时两年,做到了在线教育行业用户规模第一,占据75%以上流量侧市场份额。
相比较通过烧钱获客的互联网一贯打法,作业帮通过流量的合理利用,可以有效降低获客成本。同时可以通过产生的海量数据,利用大数据等技术,分析用户行为,从而提升用户体验。互联网本身具有规模效应,积累到一定用户后就容易实现和扩大盈利。
劣势:在线教育是慢行业,需要沉淀
在线教育行业,也属于教育行业。在线教育如果只用互联网的打法难以决定最后的成功。引用俞敏洪的一句话“互联网要有速度而教育要有温度”。比如有些在线教育公司是从下线教育做起的,在教育领域深耕过,教育内功比较强。作业帮在教育沉淀方面还需要花点时间和精力,不断探索。如果只靠互联网的打法,追求模式创新,吸引流量,不一定走到的更远。教育行业不仅仅是解决供需两端需求,口碑,内功更加重要。
05 产品迭代分析笔者梳理了作业帮重要的核心版本,通过这些信息探究作业帮的迭代节奏情况。如下表所示:

第一个阶段围绕“答疑社区”功能,向教育领域拓展阶段
2015年1月21日之前,从项目启动到4.0.0版本。属于作业帮的冷启动阶段,整个阶段的核心是围绕“答疑社区”完善的。其目的是利用百度的技术和资源优势,往互联网教育行赛道业延伸。笔者认为“百度知道”、“百度文库”、百度百科”几大产品本身就拥有一定的教育属性,百度通过“答疑社区”业务作为互联网教育切入点,坡度较小。从答疑圈子,慢慢新增添加好友、线上老师视频回答问题等功能。这些业务功能拥有一定的社交属性,互动性强,容易吸引用户入驻使用。这个时期探索比较多,盈利模式不明显。
注: 笔者在七麦数据和酷传上等权威网站都没有查询到早期(V3.3.1之前)作业帮的版本迭代信息,在百度百科查询补充如下:
2014年1月15日,作业帮Android正式发布。
2014年5月28日,作业帮Android更新至2.0版本,新增学校圈功能。
2014年8月27日,作业帮Android好友功能上线。
2014年9月10日,作业帮全新上线名校视频课程。
2014年10月24日,作业帮上线教师视频回答功能。
第二个阶段围绕“学习工具”,占领市场
2015年1月到2016年7月,V4.0.0到V6.22版本,处于搜题时期,业务重点转向了工具开发。同期竞品有“小猿题”,“学霸君”等,竞争激烈。作业帮依托百度固有的搜索技术和数据资源优势,上线了拍照搜题,作文搜索,单词查询等用户容易高频使用的工具。其目的就是脱颖而出,迅速占领搜题市场,进一步积累用户。围绕搜题业务,后期又提供了包括作文素材,辅导视频,寒假作业答案等,逐渐成为综合性学习工具。此时的用户流量,用户粘性都有了极大的提升。这个阶段通过付费答疑业务模式,已开始盈利。

第三个阶段扩展业务矩阵,构建“K12在线教育综合平台”
2016年07月至今,V6.2.2到现在的版本 ,不断扩展业务矩阵,从工具到老师答疑,课程辅导,服务越来越有温度,用户体验逐步提高。构筑并增强了”K12在线教育综合平台”壁垒。
这一阶段K12赛道上奔跑企业竞争加剧,从上表中迭代信息可以发现作业帮加快了迭代节奏,不断完善打磨产品,比如2018年上线的重要功能要多于2017年。
作业帮一方面对原有工具业务进行了的优化和扩展。比如在学习工具方面,新增了古文助手工具,新增搜题视频讲解等。调整优化页面布局,将作文搜索、单词查询、古文助手等学习工具放到首页。新增错题题本、阶段性测试,同步练习,并提供练习辅导。这一系列动作,主要就是巩固和发展在学习工具领域中的优势地位。
另一方面做了很多探索,逐渐聚焦课程辅导,并且不断提升课堂互动体验和趣味性。 比如新增“一课”业务,并且进行了页面布局调整,也加入了群作业等功能,最终又将“一课”其升级为“直播课”。这个阶段作业帮也对“一对一模式”做了一些探索,并且最后又将其下架。增值业务方面新增了一些VIP特权,比如新增阅读世界特权等。不断扩展K12业务矩阵,增强企业实力。这一时期跑通了整个营收模型,扩大了盈利范围。

整体来看,作业帮的节奏感好,前期主打垂直业务,提供高频且刚需的免费工具给用户使用,积累了庞大的用户,然后逐渐扩展扩展业务矩阵,打造成为K12线教育平台。整个过程重视用户的需求和产品体验。积累了庞大的流量,并且处于遥遥领先的地位。
06 产品结构分析以三年级阶段的12.8.4版本为例,作业帮产品脑图笔者整理如下:

笔者按照用户、场景、需求和功能三个方面进行梳理,如下表所示:

目前作业帮主要用户是家长和学生,原因是作业帮很多功能学生可以直接免费使用,但是直播课业务功能需要付费,学生需要家长经济支持。总体上用户在使用作业帮产品中会存在三种场景:
场景一是围绕作业来的,学生做作业或者家长辅导作业。
场景二是围绕辅导课程来的,家长需要平台对孩子所学课程进行辅导。
场景三是围绕练习来的,到平台找题,进行题海战术,巩固学习的知识。
场景一:

作业帮提供了丰富的搜题工具,这些工具是用户高频使用的,所以整体放置在了首页。鉴于工具多,又分类放置,使用频率小古文助手等缩小图标罗列在一起,符合交互设计的就近原则,通过左右滑动获取。使用频率高的拍照搜题等放大图标放置在醒目位置,图标设计也符合尼尔森十大原则之环境贴切原则。用户的使用方式非常简单,直接拍照就能获取答案解析,效率非常高。

场景二:
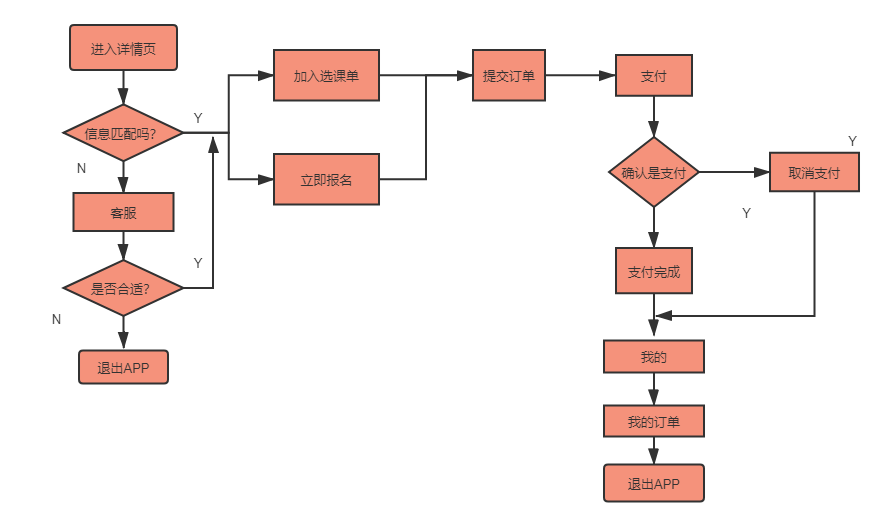
1)找课程:用户通过进入底部导航栏的直播课栏目进行课程选择。用户如果什么都不懂,首次进入可以简单粗暴的通过“选课咨询”模块进行针对性了解。如果用户没有想好具体课程情况,可以直接看“精选模块”下推荐的课程进行筛选。如果用户有明确的购课目的,可以通过搜索框输入关键字找课。

2)找到课程后,点击课程进入购买详情界面进一步详细了解课程详情,师资水平等。如果此时有顾虑,可以点击“客服”再进一了解,这样缩短了购课流程,从而提升了转化率,也符合用户比较习惯的电商购物流程。买课后,用户要知道已购的课程有哪些,如何安排的,以及学习进度情况。如果是从首页进入,可以直接看到报名的课程,并且左右滑动筛选,适合购课少的用户,所以放在首页对于用户来说简单高效。同时按照电商平台使用习惯,购买的课程商品也可以进入“我的”导航栏进一步通过订单等筛选查找。对于所购买的课程,可以下载配套资料,做课堂测评,查看学分排名,评价老师等,这样可以提升用户购课体验。

3)学习课程,点击“去上课”后,展示当前课程的课节,包括之前学过的的和现在直播的还包括所需要的课件等资料。如果是录播课还会有当时的学情排行榜。选择其中一节,会进行趣味练习或者直播课(看回放)。整个一个过程流程清晰,流畅。课节,阶段测,摸底测试等比较重要的放在在中间位置,大图标展示。添加班主任、课程资料、排行榜、更多等不太常用,低频的罗列在一起放在右上角。层级关系非常明确,如下图所示:

场景三:
进入练习导航栏后可以进行教材同步练习,鉴于不同地区的教材版本不同,作业帮在练习模块可以设置教材版本。每个学科下面对应着不同的单元,提供用户选择,点击进入后,系统随机抽提,避免了重复题目让用户乏味。用户也可以进行系统考试练习,选择练习导航栏中的“试卷”进行测试。同时作业帮提供试卷上传入口,发动人民群众的力量,保证试卷题库量丰富。用户经过一段测试后,通过点击右上角笔记本形状的按钮,可以查看用户练习情况,排名水平等信息统计结果,从而有针对性的学习和练习。

从以上分析可以发现,作业帮针对教育方面的的功能设计点很多,涉及到了K12阶段的方方面面,功能丰富,实用性强,能够很好的满足用户需求。同时产品结构布局合理,交互性强,效率高,是一款优秀的产品。
07 运营路径分析产品负责界定和提供长期用户价值,运营负责创造短期用户价值+协助产品完善长期价值,产品和运营关系非常密切。由上我们主要分析了产品相关,下面我们整理下作业帮主要运营活动路径如下:
与电视节目、网剧等合作:
2015年8月,《开学第一课》。
2016年8月, 作业帮联合《微微一笑很倾城》。
2016年9月, 携手CCTV《开学第一课》。
2018年3月, 作业帮和《欢乐喜剧人》合作。
2018年4月, 作业帮在北京卫视《中国故事大会》合作。
2018年4月,作业帮成为《机器人争霸》跨界合作伙伴。
2018年4月,作业帮成为《完美搭档》深度在线教育合作伙伴。
2018年4月, 作业帮成为《创造101》首席在线教育合作伙伴。
2018年5月, 《这!就是街舞》的合作伙伴。
2018年5月, 作业帮与央视《传承中国》合作。
2019年6月, 湖南卫视《快乐大本营》推荐在线辅导App。
2019年6月, 作业帮与湖南卫视《神器的汉字》合作。
2019年8月, 与央视《开学第一课》合作。
2019年9月, 独家冠名的湖南卫视《汉语桥》节目。
2020年3月,中国教育电视台《同上一堂课•直播课堂》在作业帮直播课App同步开播。
自推节目和活动:
2016年7月, 作业帮辅导推出原创人物访谈栏目《好家长炼成记》。
2019年1月, 作业帮“2019读书陪伴计划”。
2019年4月, 作业帮将在北京举办以“知荟童趣,权盈未来”为主题的版权保护科普日活动。
2019年5月, 作业帮倾情打造高考季品牌视频:《我知道 我行》。
2019年8月, 优必选联合作业帮推出的“点燃小雄心 领跑次世代”活动。
2019年12月,作业帮发起了“这个圣诞有点暖·作业帮六周年圣诞特别企划”。
2020年2月,作业帮直播课《与你一起静待春暖花开》MV正式发布。
与其他企业或平台合作(从2018年到2020年)

我们在微信上24小时期待你的声音
解答本文疑问/技术咨询/运营咨询/技术建议/互联网交流