扫二维码与项目经理沟通
我们在微信上24小时期待你的声音
解答本文疑问/技术咨询/运营咨询/技术建议/互联网交流
小雅下方添加打call值的进度条,进度条和“活动说明”页的进度条相同,能直观的让用户感受到打call的成就感。进度条不展示具体打call值和预计曝光度数值,因为用户不需要了解过多的复杂数据,打call值的具体数值和能够兑换的曝光度只需要对主播可见。
底部的提示语“图和获得打call资格”不准确,跳转的页面实际是对打call作用的说明和目前支持的3中打call方式,改为“打call的正确资源”更加准确。
用户已经打call过的节目,再次点击打call按钮,页面提示“您已为主播贡献了N个打call值,期待TA的更多节目吧~”,明确提示用户不能再次打call。

已购节目激励用户反馈:购买节目的用户是对节目内容了解程度最高的一群人,因此想办法激励购买节目的用户去评价是很有必要的。
目前对专辑进行评价的入口只有两处:用户订阅列表和专辑的评价页。
笔者建议为专辑评价提供更多入口,并提醒用户写优质评价能够赚取积分。不过结合用户反馈的“积分无实际作用”来看,喜马拉雅应该对积分系统进行调整,让积分真正起到作用,用户才有赚取积分的积极性,促进平台的良性发展。
目标用户群:内容付费用户。
优化建议:在用户已购页的列表中添加功能“评论赚积分”,点击后直接跳转到“发表评论”页,并且评分默认为10分。

用户消极操作反馈:对用户的消极操作,如取消订阅、取消关注,APP应该提供反馈通道来搜集用户意见。目前这一版本只在【首页-推荐列表】有标记为“不感兴趣”、“屏蔽”功能,用于帮助平台判断用户的偏好,“反馈”功能用于收集用户反馈,而【订阅】、【已购】的专辑反而没有反馈通道。
目标用户群:想对节目提意见,但又找不到反馈通道的用户。或者说觉得反馈太过麻烦,直接放弃的用户。
核心需求:用户能够对订阅和购买的专辑方便的进行反馈,并且在取消订阅时能够以选择或填写的方式反馈意见。
优化建议:
【首页-推荐列表】的更多功能中去掉“反馈”功能。用户对首页推荐的内容了解不足,无法对内容做出太多评价。可以保留反馈中的“听过了”选项,避免推荐重复的内容。

在【我听-订阅】列表和【取消订阅】两处添加“反馈”功能,用户的反馈将会被平台收集,并作为平台对内容优质程度的评价因素之一,同时也会反馈给主播,让主播了解用户的真实感受,并对内容不断进行优化。
【我听-订阅】列表中,点击更多按钮,增加“取消订阅”选项,这里也加上同样的意见反馈流程。
意见反馈的内容包括:
听过了
对内容不感兴趣了
内容质量差
内容音质差
背景音干扰

随着知识付费的兴起和知识类音频节目的推出,越来越多的用户把音频平台作为学习工具。那么记笔记就是随之而来的非常重要的用户需求。对于平台而言,提供笔记功能可以提升用户的活跃度和粘性,同时积累优质用户内容;对用户而言,补充了笔记方面的用户需求,完善了用户通过音频学习记录的体验。
笔者调研了喜马拉雅、蜻蜓fm、荔枝,发现在线音频APP大多没有笔记功能,猜测原因:虽说在线音频APP内容在不断丰富,推出了越来越多知识付费的节目,但还是以泛娱乐为主(从用户最受欢迎的内容来看),所以目前都没有上线笔记功能,但未来是一种趋势,喜马拉雅的咔嚓笔记功能算是试水。
喜马拉雅6.6.66版本上线了咔嚓功能,支持在音频播放过程中截取片段,添加视频、字幕,后发布到动态。在这之前的版本,还支持精彩标记功能,即在音频播放的某个时间点标记为精彩,可在播放进度条上打上标记,点击可直接跳转。
笔者目前体验的版本6.6.84,上述两个功能都已暂时下架,正在优化升级。目前版本的评论功能,也加上了时间戳标记。
知识付费类的APP得到和知乎都有笔记功能,分析其功能:
得到:得到APP的内容都是PGC内容,音频内容配有文稿,用户可以方便的在文稿中划线添加笔记,生成笔记后文稿高亮显示有笔记的片段。笔记支持设置标签(亲测无效)和设置是否公开,公开的笔记将会发布到“知识城邦”,并且支持点赞、收藏等一系列操作。得到APP还支持用户自定义创建笔记本功能,这一功能是其他APP没有的。
知乎:知乎会员专栏也是PGC,但内容形式更丰富,包括盐选专栏、Live讲座、电子书、有声书、讲书和杂志,其中除了有声书是开通会员后仍需付费的内容,其他都带有文稿。知乎的笔记功能也是基于文稿的,用户长按文稿内容,对内容进行划线标亮或划线添加笔记。笔记同样可以公开(发布到个人动态)和同步到想法(和公开的区别是什么?),支持点赞、收藏等操作。 知乎APP没有单独查看笔记的页面,查看以前的笔记需要沿着路径【课程-查看文稿-我的笔记】才能看到。
参考了竞品的笔记功能,回归到喜马拉雅自身,可以得出以下结论:
喜马拉雅的内容为PGC+UGC,内容类型多而复杂,大部分音频内容没有文稿,或文稿内容简单(有的主播会给提纲或者图片)。虽说在文稿上写笔记更加符合人们的使用习惯,但由于文稿缺失,基于文稿来实现笔记的方式对喜马拉雅来说不可行。
由于内容文稿的缺失,通过音频内容识别的方式得到文稿的功能显得尤为重要。
在文稿的基础上记笔记,用户回顾时可以参照文稿,以文稿为基准。没有文稿的情况下,应该考虑将音频内容截取下来,作为参照,方便用户定位笔记的出处。
笔记功能一方面可以记录瞬间的感想、灵感,主要起学习记录的作用;另一方面也可以发布到动态或分享到圈子中,主要起互动、娱乐的作用。笔者猜测这也是之前的咔嚓笔记支持制作成视频的原因。
优化建议:
记录笔记时,丰富文稿的添加方式。用户除了可以手动输入内容(文字、图片等)之外,还可以复制主播的文稿和智能识别音频中的内容。
优化笔记的展示形式,满足用户最基本最朴素的需求:可以一边听音频,一边查看笔记。
笔记支持音频和视频两种形式,音频是最基本的形式,也是默认的选择。用户可以选择是否添加视频。
笔记创建后可以再次修改,但发布到动态后的笔记不能修改,只能再次发布。
将精彩标记功能融合到笔记,笔记标记为精彩后,可在播放进度条中表示出来。
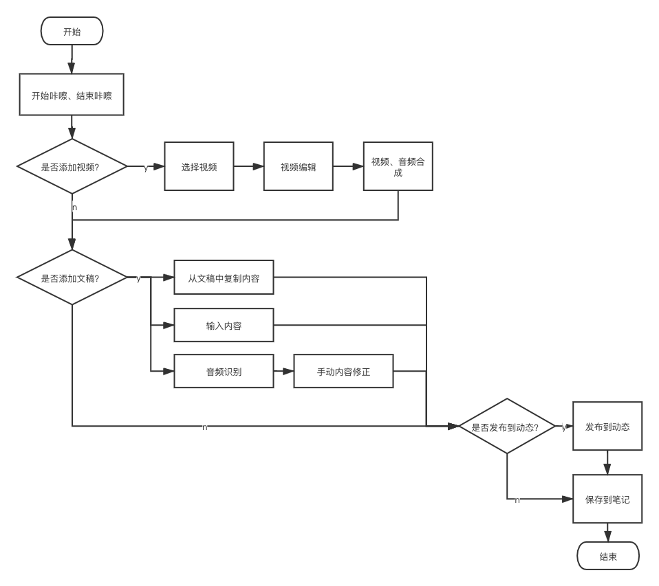
下图为使用咔嚓制作笔记的流程图:

整个流程是从音频剪辑、视频添加、文稿添加到发布的过程处理,具体的流程细节如下:
音频裁剪:在播放页添加“咔嚓”按钮,点击按钮后跳转到音频截取页面,拖动音频截取框,控制截取长度(5-30s)。左下角“添加视频”按钮可以为音频添加视频,若不添加,笔记默认保存为音频。
视频添加:提供默认的视频模板,用户也可以自定义上传。如果上传视频时长超过音频则截取多余部分,时长不足则重复播放。
文稿添加:提供三种方式添加文稿,三种方式添加的内容可以叠加。
手动输入:用户手动输入文字、图片等形式的内容。
智能音频识别:智能识别音频中的内容,识别完成后用户可以手动矫正后添加到文稿。
从文稿添加:复制主播文稿中的内容。从文稿中添加的内容在显示上应该区别于用户自己添加的内容。
发布:默认笔记保存到咔嚓笔记,仅自己可见。发布时也可勾选“发布到动态”(后续可优化同步发布到圈子)。发布后该条笔记将默认标记为“精彩”(播放条中生成标记),可在咔嚓笔记中去取消“精彩”标记。

咔嚓笔记列表:笔记列表支持按音频/视频、按专辑筛选查询笔记。咔嚓笔记和精彩标记都会被记录下来。原功能列表是通过时间轴展示的。音频内容只展示开始标记时间,点击即可开始播放;视频内容也可直接开始播放。
优化建议:
笔记卡片列表:笔记卡片通过播放图标的形状区别音频和视频,音频为圆形图片,视频为方形图片。右侧的详情,第一行展示笔记内容的摘要部分,第二行展示节目标题。
更多:点击笔记卡片右侧的更多按钮,可对笔记进行编辑、删除、取消精彩标记操作。
按专辑筛选:按专辑筛选后,笔记卡片的展示风格相同。

音频节目的播放和音乐类APP的播放功能类似,都是用户将节目添加到播放列表,系统再按照用户的设置来播放。笔者对比了喜马拉雅、竞品蜻蜓fm和有相似功能的网易云音乐的播放功能,发现音频类APP和音乐类APP有挺大差别:
三款APP都能够修改播放顺序,当然这是播放功能最基本的功能,音频类APP为了满足剧集类的节目还支持调整正序/倒序。
蜻蜓fm和网易云音乐都有按钮跳转到内容的来源,蜻蜓fm可以点击“查看专辑”后退,网易云可以点击“播放来源”跳转回来源页面。
音频类APP的播放列表每一项支持下载操作,而音乐类APP的播放列表支持将音乐从列表删除。除此之外,网易云音乐还支持一键收藏播放列表的全部音乐。
分析以上差异的原因:
听音乐时长短,灵活性强,随机性强,重复性强。而收听音频节目,时长更长,连贯性更强。音频内容一般来源于专辑,通常是从专辑进入播放,这种情况下用户一般来说没有修改播放列表的需求。
但除了专辑之外,喜马拉雅也支持听单。听单内容更分散,一般来说是为同类内容创建听单,再加入来自不同专辑的内容,这就和听音乐类似,音乐类APP中创建歌单是很常见的操作。
音乐类APP的播放来源分散,因此网易云音乐就有了跳转到播放来源的功能。除了听单之外,喜马拉雅的各个分类下还有一键播放精选内容的功能,也和听单相似。
听单:满足用户按照自己的需求和喜好,聚合特定节目内容的需求。典型用户应该为深度用户,用户不再满足于平台提供的内容组织形式,而是要自己去创造内容。通常用户需要在听过足够多的内容后,才能创建听单。


优化建议:由于喜马拉雅也支持听单和一键播放精选内容这种音频来源比较分散的形式,因此笔者建议借鉴音乐类APP中能够任意修改播放列表的功能,增加播放列表的个性化定制能力。
专辑节目列表,节目右侧的“下载”按钮改为“更多”按钮,展开后支持节目的播放、添加到听单、下载和分享功能。这个建议主要是为了方便用户操作单个节目,能够向播放列表中添加某个节目。

播放列表长按节目标题支持拖动。拖动可调整节目顺序和删除节目。长按拖动生效后,页面顶部展示删除热区,节目拖动到热区后可被移除播放列表。这一功能是让用户能方便地调整播放列表内容。

在线音频行业从发展时期走向成熟阶段用了七八年,终于探索出了一条稳定的商业化道路。相比于发展快速的垂直领域,在线音频可以说是一个“慢热”的行业。
喜马拉雅作为行业的头部玩家,在几年的发展中不断完善布局,提升平台的竞争实力,喜马拉雅的各项用户数据也让其他平台望尘莫及。
内容方面,喜马拉雅在2016年率先与大流量IP合作,打开了内容付费的先河。版权方面,与阅文集团、中信出版社等版权方合作,引入火爆的有声书资源,成为了平台上最受用户喜爱的节目类型。
主播方面,喜马拉雅推出“万人十亿”、“直播春生”等主播招募、扶持计划,吸引主播入驻,打造PGC+UGC+PUGC的多元内容生产模式。
在线音频未来的增长点,会产生在儿童生态和场景生态中。随着“二胎时代”的到来,儿童内容的音频市场也有极大的开拓空间。喜马拉雅早在2018年就开始布局儿童市场,推出了喜猫儿APP,为0-12岁儿童提供“听”的成长服务,涉及众多优质资源,根据年龄性别个性化精准推荐最适合的音频内容,满足如睡前故事等特定场景的需求。
未来,随着IoT、5G和语音交互等技术的加持,将会为在线音频行业带来新的商机。智能家居、车载设备和智能音响的音频内容普及,将有丰富的智能终端作为语音交互的入口,提升音频用户的覆盖面。
除去喜马拉雅这些年的成就和生态布局,挖掘用户需求,优化自身产品功能,完善商城和客服体系,提升用户满意度,打造好口碑,还是最基本的产品之道。

我们在微信上24小时期待你的声音
解答本文疑问/技术咨询/运营咨询/技术建议/互联网交流