扫二维码与项目经理沟通
我们在微信上24小时期待你的声音
解答本文疑问/技术咨询/运营咨询/技术建议/互联网交流
编辑导读:喜马拉雅作为一款音频类的产品,其丰富的种类和较高的内容质量吸引了很多受众,许多用户也在上面发布自己的音频,形成PGC+UGC+PUGC的多元内容生产模式。本文将从五个方面对喜马拉雅APP进行分析,希望对你有帮助。


喜马拉雅的核心功能分为5个模块:
音频收听:主要功能是对各类音频内容的分类、推荐、搜索和反馈,以及音频播放时的设置和反馈。
音频管理:主要功能是对用户订阅、收听、下载、购买的音频内容进行管理,用户也可以创建自定义听单来管理音频。
社区:图文、音频、视频内容的分享社区,此外还有趣配音、全民朗读、k歌等其他形式的音频娱乐方式。
我的账号:普通用户用于管理账号、会员、积分和个人发布的内容等信息;主播通过平台认证后可使用更多功能,如每日数据、管理收益、推广等功能。除此之外,支持多种不同模式的用户偏好设置。
设置:连接智能设备;推送、隐私、收听偏好和播放偏好等用户自定义设置。
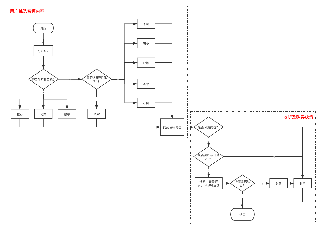
2. 用户路径图场景1:收听音频

场景2:发布音频

从2013年喜马拉雅和荔枝等平台的扎堆诞生算起,在线音频行业经历了,从电台模式到综合性音频平台的升级,从一开始单向的收听到兼具学习与交友、娱乐等功能,也实现了从填充睡前、乘车等碎片化时间,到发展成为耳朵经济的多维升级。
2019年,中国网络音频行业市场规模达到了175.8亿,同比增长55.1%,其中以音频娱乐、内容付费、广告营销为主要收入来源。
网络音频市场从2016年开始进入高速增长阶段,大批资本涌入,带动行业的快速发展。得益于精品内容的打造、内容种类的丰富和音频内容形式的多样,网络音频市场已经进入稳步发展的成熟期并逐步进入存量市场。

数据来源:艾瑞数据
经历过多年的竞速发展后,网络音频市场格局形成“一超多强”的态势。
最新发布的《2019中国网络视听发展研究报告》显示,喜马拉雅用户渗透率为62.8%,处第一梯队;荔枝、蜻蜓FM则居第二梯队,用户渗透率为33.5%。不能忽视的是,在线音频之外的垂直赛道中,知识付费领域的得到APP、知乎等也是在线音频的竞争对手之一。


通过喜马拉雅和其他行业头部玩家的发展历程中,可以看出:
网络音频行业受到资本关注,各大平台陆续完成几轮大额融资。经历了多年的发展,网络音频行业已经从传统音频、电台音频发展到综合类音频娱乐平台。
与网络文学、出版社等版权方展开合作,抢夺头部IP资源,以名人独家录制爆款内容吸引用户付费。探索知识付费、直播打赏等新的商业模式。陆续解决了商业化和版权乱象的问题。
拓展多元的内容分发渠道,除了传统的移动端和PC端之外,与智能设备、车载设备、智能家居等厂商达成生态合作,发展全场景的音频生态,进一步扩大音频用户的覆盖面。
冠名节目广告、声优招募计划、推出音频平台的“双11”等营销活动,各大平台都在争夺用户、主播和优质内容等资源。加码对MCN机构和主播的扶持力度,来共同构建繁荣又优质的音频生态。
重视亲子儿童这一新的增量市场,推出青少年儿童内容、硬件设备已经儿童内容生态解决方案。
自2018年各大平台爆出上市计划,2020年1月荔枝在美股纳斯达克挂牌上市,成为“中国在线音频行业第一股”。可以看到,行业内各大玩家都在寻求上市获取更多资金支持,来实现跨越式的增长。
3. 用户规模但从数据上看,音频行业仍有很大的发展空间。
艾瑞咨询数据显示,2018年,中国已经成为全球音频用户最多的国家,在线音频市场用户规模达3.77亿。目前音乐、游戏、在线视频的移动互联网用户渗透率已分别达到89%、82%、74%,而在线音频市场的渗透率仅为45.5%。

经历了过去几年的发展,得益于优质的内容和生态构建,在线音频行业用户规模稳步的增长,各大平台也在移动端、智能音响、智能穿戴等多端设备上拓展生态。
但相较于互联网其他增长迅速的领域,如短视频、直播等,在线音频属于相对“慢热”的行业。直到语音交互和碎片化时间消费的机遇来临,资本才开始形成认知,耳朵经济也大有故事可讲。
前瞻产业研究院预测,未来在线音频行业用户规模还会稳步增长,未来的行业增长点在于多场景的渗透、多终端拓展以及终端间无缝衔接的收听需求。在线音频行业仍是一片蓝海,行业玩家将逐渐走向下半场的角逐。
4. 商业模式中国网络音频行业经过多年发展,整个行业运作趋于成熟,形成了由音频娱乐+内容付费+广告营销+硬件设备销售等组成的商业模式。
根据易观千帆数据显示,2019年互联网音频市场的收入占比中,最高的为音频娱乐,即用户打赏收入。占比第二的是内容付费收入,主要以会员订阅和音频内容一次性买断为主。其次是广告、硬件设备、周边衍生品收入。

2016年,喜马拉雅与当时火爆的综艺节目《奇葩说》合伙打造了平台首个付费节目《好好说话》,当天销售额就突破了500万。
2017年,蜻蜓fm邀请到高晓松推出《矮大紧指北》,成为蜻蜓fm的首款自制付费音频节目。2016年被成为“知识付费元年”,也诞生了以“得到”为首的纯知识付费类产品。在线音频行业探索出了一条商业化的新道路,同时也展开了IP和数字版权的抢夺战。各大平台推出的优质音频内容和“知识付费”风潮的兴起,也使得用户的内容付费意愿增强,成为行业收入贡献的主力军之一。

数据来源:艾瑞数据
广告营销方面,在线音频领域具有更大的优势。数据显示,除了传统的图文广告、banner广告和信息流广告之外,音频平台还插入了口播广告、音频贴片广告等音频形式的广告,并且用户普遍认为音频形式广告干扰更小且能让人留下更深的印象。

数据来源:艾瑞数据
处于同一行业的荔枝避开了喜马拉雅和蜻蜓fm的内容付费之争,在音频直播赛道上独辟蹊径。
荔枝认为网络音频对于用户来说,相比于学习进阶的工具,更是维系感情连接的社交方式。对于使用音频直播的用户来说,核心需求是情感和社交。而以社交互动为纽带,用户的忠诚度会更高。
从数据中可以看到,2019年在线音频市场收入中,音频娱乐的占比为40%,已经超越了内容付费,主要构成就是用户打赏收入。
从报告的结果来看,主播的声音特质、专业度和内容的质量是用户愿意打赏的主要因素,此外主播的陪伴度、个人魅力也会吸引用户打赏。
2019年用户年平均打赏的金额为777.4元,整体而言消费金额比较高,已经高出内容付费的平均消费三倍多。

数据来源:艾瑞数据
除去上述主要商业模式外,喜马拉雅还在其他方向探索:
金融服务:与建设银行、华夏银行等推出联名信用卡,以及借贷产品“万达普惠万e贷”和“新网银行好人贷”。购买金融产品的福利包括喜点、会员、满减券、爆款小说作者亲笔签名等,将巨大的流量和会员资源变现。
分享反佣:用户购买付费产品分享反佣,激励用户自发推广。设立“知识大使”,用户成为知识大使后自购省钱、分享赚钱,通过一套分佣机制,拉新促活,让用户成为平台的推广大使。
三、用户分析 1. 用户数据根据易观千帆报告显示,整个2019年相较于2018年,用户月度启动次数增长了73.8%,月度用户使用时长增长了95.2%。可以看到用户的粘性和使用深度均有很大的提升。
数据当中,2019年6月到9月的用户数据下降与下半年的音频内容整顿有关。当时各大音频平台从应用商店下架,仅在苹果的APP Store能够下载,导致用户数据不增反降。而对于2020年2月的下跌,笔者猜测与春节和疫情的影响有关。

2020年3月最新的启动次数和使用时长排名中,依旧是喜马拉雅占据领先地位,荔枝和蜻蜓FM位于第二梯队。
有意思的是,同属于第二梯队的荔枝,在启动次数上是蜻蜓fm的两倍,而两个APP在用户使用时长上几乎相同。从中可以看出,荔枝的“音频直播”模式用户打开频次更高,使用时长更不确定,更加碎片化。

性别及年龄分布:男性占比66.1%,是女性用户的两倍。用户年龄构成当中,36-40岁年龄段用户是最大主力军,其次24-30岁用户,年龄集中在24-40岁的中青年群体占到了总体用户的80%。

对于男性占比是女性的两倍,笔者猜测有以下两点原因:
内容类型:用户最偏爱的节目类型为有声书、历史人文、相声小品一类,相较于女性,更符合男性的偏好。对于知识付费类内容,笔者参考了得到APP的用户数据,男性用户也趋近于女性用户的两倍,可见男性在知识获取的诉求上高于女性。
使用场景:音频内容占用的是用户的碎片化时间,如通勤、午休、睡前等时间。相比男性,女性更喜爱把碎片化时间用在看电视剧、综艺上。
地区及消费能力:一线及超一线城市用户占比超过一半,中高、中等、中低消费能力人群占比达到80%。两组数据能够对应上,发达地区的用户有更高的消费能力,对于知识的诉求和付费意愿也更强。

1)小陈/23岁/女/大四学生
到了大四之后,学校的课程不是很多,课余时间很多。小陈平时很喜欢看玄幻小说,经常熬夜追连载。后来发现喜马拉雅上有她喜欢的有声小说,她觉得很方便,随时都能听,更新的也很及时,就转而听起了有声书。
马上要毕业了,小陈对于职场有期待也有恐惧,时常会在喜马拉雅上听一些职场相关的内容,学习前辈的经验,提前进入状态。
2)老张/62岁/男/退休职工
老张退休两年了,平时除了逛逛花鸟市场、跟隔壁王大爷下下棋、陪老伴儿跳跳广场舞,老张还喜欢在喜马拉雅上听德云社的相声。
最近儿子给家里买了个小雅智能音响,张老不太会捣鼓这玩意儿,但是儿子教了他怎么用,连接上喜马拉雅,通过语音交互,在家听相声更方便了。
3)小Z/28岁/男/互联网白领
小Z在北京一家互联网公司工作,平时上下班通勤得一个多小时,为了不浪费时间,小Z上班路上会在喜马拉雅上听一些IT、科技类资讯,保持与时俱进。下班时会听比较轻松的脱口秀、段子。
工作了5年,小Z有了些积蓄,最近开始热衷于理财投资,每天会关注像《齐俊杰看财经》、《听见吴晓波》这样的商业财经节目。
4)小可妈/32岁/女/某外企hr
小可今年3岁,开始上幼儿园了。小可妈每天接送小可去幼儿园,然后自己去公司上班。早上起床后小可会在吃早饭的时候用喜马拉雅播放一些儿童有声读物,晚上回到家会跟小可一起听一些少儿启蒙课。
小可妈平时也会有小孩教育的各种疑问,所以自己也会听和儿童教育相关的家长必修课,与小孩共同成长。喜马拉雅上的哄睡故事,也帮小可妈省了不少事。
5)淘妹/25岁/女/客服
淘妹性格开朗、声音甜美。在一家金融公司做客服,觉得平时工作重复、枯燥,而且工资不高。淘妹之前喜欢在喜马拉雅上听情感电台,后来无聊时闲逛看到音频直播,淘妹寻思自己声音好听,喜欢唱歌,就在喜马拉雅上认证了主播。
半年来,淘妹每周晚上在家直播一小时,现在有了些小粉丝,也能挣点零花钱。未来淘妹想把更多精力放在直播,争取早日实现财富自由。
3. 反馈问题收集根据应用市场、贴吧和用户调研的反馈,大致总结归纳出如下几个问题。
1)音频播放
存在问题:
音频播放顺序:音频播放顺序不稳定,在版本更新后不能维持用户原先的设定,非常影响用户体验
开启跳过片头、片尾无效
广告音量:广告音量无法控制,常常比音频声音大的多,严重音响用户体验
播放过程中出现“网络连接错误,稍后重试”的错误
音频播放的标记和笔记记录功能,新版本下线了
优化建议:
对于音频平台来说,用户对播放功能的评价好坏是重中之重。如播放过程中出现网络错误、播放中断诸如此类的问题,应该首先引起重视,否则这批用户很大程度会流失掉。笔者在“联系客服”功能中搜索到了网络错误问题的解决办法,建议在功能中添加跳转连接,在用户遇到问题的第一时间提供解决办法。
其次,音频的播放顺序很影响使用体验。对于有播放次序的节目,系统可以默认修改播放顺序。包括用户的播放记录这些细节,能够在不同的终端上同步,不受APP下载、卸载、版本升级的影响。广告音量太大的问题,建议获取设备的音量设置,让广告音量适配用户设备的音量,技术上解决还是不难。
跳过片头片尾的功能,目前需要用户手动为每个专辑设置跳过时间,操作麻烦,不太智能。建议可以为音频内容添加标注片头片尾功能(由音频制作者操作),用户直接开启跳过即可。
2)广告
存在问题:
应用启动广告:应用热启动时也有广告,占用互用太多时间
时间过长:音频广告时间过长,有时甚至比音频内容本身还长,让用户无法忍受
优化建议:
减少热启动广告、音频节目之间插播的广告。虽然说用户对于口播广告和音频贴片广告的注意度更高,但也意味着对用户的干扰越强。平台应该在这点上进行取舍,找到既让用户满意又能最大化利益的度。
3)会员和积分体系
存在问题:
会员权益不清晰,用户不清楚购买后能够听到哪些内容
积分不实用:利用积分购买商品,积分几乎不起任何抵扣作用,商品仍然需要付费购买
商城和客服:发货速度慢,拖延;客服回复慢、跟进慢、态度差等问题
优化建议:
一个好的会员体系应该让用户觉得值,而不是疑惑为什么我已经付费了,而有的内容还需要购买。因此平台应该在用户购买前就明晰会员的权益,哪些内容还需要用户二次付费。并且在用户有优惠权益的各个地方。
让积分起到实际作用。周边商城,既然要做周边电商,那么订单、物流就一定要跟上。不要因为用户一次失望的购物体验,反嗜了产品本身。
四、产品分析及改进意见 1. 优化打call功能“打call”是喜马拉雅6.6.81版本上线的功能,打Call的作用是为节目积攒人气值,帮助主播节目增加曝光度。用户可以通过积分、分享和观看视频三种方式给节目打Call。因此打Call值也是与评分、播放量、评论类似的内容评价标准。
目标用户群:打call功能的目标用户群主要是主播和主播的粉丝们。普通用户被主播的节目吸引,通过打call的方式支持主播。主播的节目收到打call后将打call值转化为曝光值,提升节目的曝光度。由于最终打call的受益方是主播,因此主播可以在节目中通过口播的方式鼓励听众打call,从而提升节目的曝光度。
存在的问题:
打call功能页面缺乏活动相关说明,导致新用户在打开此功能或者已经使用此功能后,也不清楚打call功能的作用。页面下方的“如何获得打call资格”描述不准确,点击后会跳转到活动说明页面,
打call功能页面没有给到用户任何反馈,如用户是否已打call过,打call后对于节目到底有多少贡献。
打call活动的规则说明不完善,比如积分打call是否是每天可以重复的、分享打call是按链接计算还是所有用户数、视频打call具体指的是什么视频等的细节都需要完善,才能带来公平的竞争。
主播端没有提供对打call值进行兑换的功能,另外打call值的兑换规则也是缺失的。
核心需求:
打call页面添加活动说明,让用户理解打call功能的意义,并且在打call后得到反馈。这一需求是针对所有使用打call的用户。
主播的节目被打call后,能够手动将打call值转化为曝光度;亦或平台直接将打call值转化为曝光度的提升,并告知到主播打call值为节目的曝光度提升了多少。
用户只能对同一个节目打call一次,打call后用户无法从页面上得知自己是否已打call过,页面应给出相应提示。
优化建议:
活动规则限制每个用户每天最多打call两次,因此页面上打call选择部分的左右活动按钮显得多余,建议去掉后直接展示“1次”和“2次”按钮。用户的选项会高亮放大显示。
小雅下方的提示语“点击小雅为主播打call”对活动的解释不足,改为“点击小雅为主播打call,送TA上首页”,帮助用户理解打call的含义,也能提高用户的参与度。

我们在微信上24小时期待你的声音
解答本文疑问/技术咨询/运营咨询/技术建议/互联网交流