扫二维码与项目经理沟通
我们在微信上24小时期待你的声音
解答本文疑问/技术咨询/运营咨询/技术建议/互联网交流
在信息爆炸时代,还是有一些人通过阅读书籍的方式静下心思考,静心提升自己的。而电子阅读产品也是互联网时代下的特色与产物,在竞争激励的电子阅读产品市场中,微信读书也正凭借着高质量的产品设计赢取用户的称赞与信赖。

产品名称:微信读书
产品版本:IOS V4.5.0
调研环境:IOS 13.1.2
调研时间:2020.01.16
《奇葩说》辩手詹青云曾在辩论中说过:“我们活在一个资讯爆炸的时代,我们活在一个我们生产知识的速度超越我们储存它速度的时代,所以,在这个时代考验的恰恰是我们从这些信息当中去挑选,辨别,排序的能力”。
互联网的发展使信息的传播跨越了时间和空间的界限,一方面提高了信息传播的效率,另一方面碎片化的信息使越来越多人丧失了深度阅读,深度思考的能力。
而这个时代真正考验的恰恰是这些能力。
那么我们应当如何重新获得这种能力呢?我想读书可以。
而《微信读书》提供了这样的机会给我们:
丰富的通识类书籍的版权
干净简洁的界面设计,没有冗余信息流的堆砌
与书友分享读书感受
记录读书时长
……
不管是在宿舍的床上躺着,还是在地铁里挤着,打开微信阅读app,我们就可以找到自己的一方净土,将那些多余的信息抛之脑后。
一、微信读书产品介绍 1. 产品概况微信读书是基于微信关系链的移动社交阅读APP, 主打“阅读+社交”的特点。
它通过推荐好友阅读的书籍,分享读书心得,记录阅读时长等功能,解决了用户闲暇时不知道读什么书,不知道与谁交流心得体会,不知道自己读书时长以及不知道好友读书情况的问题。
2. 产品首页功能模块发现:
主要推荐好友阅读的书籍,其次还包括根据阅读历史推荐书籍,根据一周飙升榜推荐书籍,解决了用户不知道读什么的问题。发现页面中还可以找到各种领取无限卡活动。其中推荐好友阅读书籍是《微信读书》的一大特色。
书架:
包括加入书架和移出书架功能,用户可以将想要阅读的书籍加入书架,在书架中对书籍进行编辑,包括设置私密阅读、下载、分组、移出书架等。
该功能将用户感兴趣的书籍聚集到一起,之后阅读的时候直接在书架中就可以找到,减少了用户的操作。
看一看:
最新版刚刚更新的功能,之前为“想法“,“故事”。
包括继续阅读书籍的提示功能,根据个人阅读历史记录,好友阅读历史记录推荐书籍或者公众号文章的推荐功能,以及展示好友分享的关于书籍的想法功能,在此页面中用户可以转发、点赞、评论与好友进行互动,满足了用户分享读书心得,与人交流读书感受的需求。
个人主页:
包括个人资料的编辑,账户,读书排行榜,关注的好友,每日一答,笔记,读过和赞过,书单等功能。
3. 产品亮点功能导出笔记功能:
用户读过一本书之后,过一段时间就会忘记一些内容,重新阅读一遍又实在没有必要,该功能支持用户将自己在该书中的笔记导出,便于以后复习重温重点内容。
读书时长排行榜功能:
记录用户及其好友的读书时长,并且按时长以周为单位进行排名。
制作书签功能:
阅读过程中看到喜欢的语句可以制作为书签,没事的时候看几眼,或者打印出来贴在墙上,妥妥的文艺小青年。
产品的亮点功能对应的应该是用户的兴奋型需求,导出笔记的功能为喜欢重温书籍的用户节约了时间成本,但是个人觉得此功能的入口太深,导致很多用户不知道有此功能,如果可以增加导出笔记功能的曝光度,应该可以培养更多忠实用户。
读书时长排行榜有两个作用:
第一是记录用户读书时长,此功能对有读书计划的用户起到督促的作用,如果一个用户决心每周最少读七个小时的书,那么他在看到读书时长还没有到达自己的目标时,就会马上进行“恶补”,当读书时长超过自己的目标时,就会觉得自己“赚到了”,有一种满足感。
第二就是查看好友读书时长情况,起到一个激励的作用,当看到好友阅读时长远远超过自己时,就会激发人的上进心,用户会提醒自己不能“犯懒”。
制作书签功能满足了文艺小青年们的文艺情怀,大概还可以使用户想起小时候读书摘抄句子抄到手疼的那段“痛并快乐着”的时光。
虽然这些功能的目的都是为了提高用户活跃度和留存用户,但是用户知道花在这里的时间都是有意义的,也就心甘情愿的“流连忘返”了。
二、调研背景以及目的 1. 调研背景2015年8月,微信读书正式上线。虽然在移动阅读领域入局较晚,但是凭借其“社交+阅读”的独特的产品定位,在阅读app同质化严重,市场份额被大量占据的情况下异军突起,收获了大量忠实用户。
上线3年下载量破亿(仅安卓手机,数据来源于蝉大师),截至2020年1月,App Store 中大约有95万人对其进行评分,且评分高达4.9分。微信读书的成功不仅为移动阅读领域带来了新的启发,也为互联网产品设计带来了新的思考。
2. 调研目的调研“微信读书”的主要功能,主要业务流程、交互设计、版本迭代、运营方式,和竞品的异同点等,思考用户、场景、需求是如何被满足的,分析其收获大量粉丝的原因,思考其优势、劣势、机会等。
三、用户场景需求核心用户:相比于其他阅读app拥有更多的通识类书籍,加之干净简洁的界面设计,推测其核心用户为文化水平较高,想通过阅读达到自我提升目的的人群。

微信读书的核心用户其实与《掌阅》,《QQ阅读》,《书旗小说》的核心用户不同,微信读书的核心用户的核心需求并非娱乐休闲打发时间,而是以自我提升为主,所以他们的需求为深度阅读。
《微信读书》的产品调性也是简洁,大方,宁静,这使得人们无论在何种场景下打开它,都可以进入到属于自己的小世界,不被其他信息干扰。
四、产品逻辑与结构 1. 产品主要业务逻辑
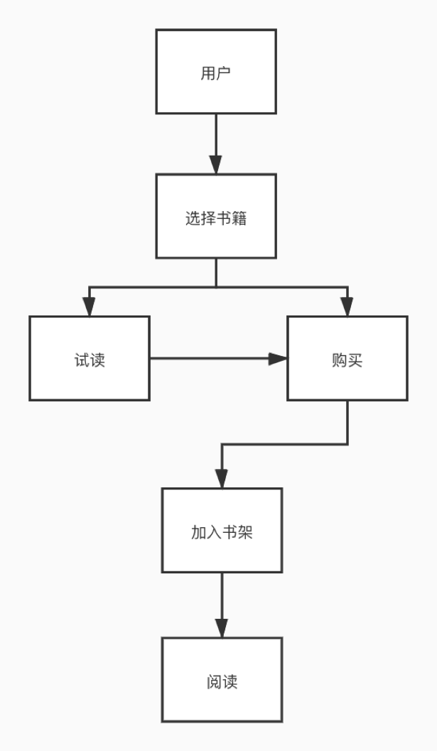
微信读书app用户大部分会经历三个阶段:选择书籍,购买书籍,阅读书籍。
用户购买书籍本是移动阅读app的传统变现模式,但是由于丰富的可获得无限卡的活动,已经使大部分用户实现了免费阅读的愿望,相信《微信读书》也不会轻易的去改变用户免费阅读的习惯,所以它似乎在探索新的变现方式。
从产品角度来讲,其不会轻易改变用户免费阅读的习惯,是因为担心用户的流失;
从其他方面讲,微信读书也是希望让更多人可以免费的读到更多更好的书,以实现自我价值。
2. 产品主要业务流程(无限卡用户)
选择书籍:
通过搜索书籍,好友在读书籍推荐,基于阅读历史推荐,书城推荐,活动赠书等,帮助用户找到要阅读的书籍。
购买书籍:
为了引导用户购买书籍,全部书籍都有免费阅读部分和付费阅读部分,用户若想阅读付费内容,就要购买书籍或者购买无限卡。
阅读书籍:
在阅读书籍的同时,用户可以在app上记录自己的想法,并且进行分享。
app中的所有用户都会流向“书架”页面,推测书架页面是除了阅读页面以外,微信读书的用户最常进入的页面,如果在此页面增添一些功能,相信会有很高的曝光率。
《网易蜗牛读书》就在书桌功能页面增添了话题和书单的入口(区别是《网易蜗牛读书》的书桌上默认为一本书)。
3. 产品功能结构微信读书的tab栏中虽然只有四个标签,但是个人认为它的主要功能模块有七个。分别为:发现模块,书架模块,看一看模块,我的模块,书城模块,想法模块,阅读模块。
由于移动端空间限制的问题,大部分产品的tab栏都有4~5个标签,所有微信读书也无法把七个功能都放入tab栏中。
书城模块并非微信读书的主要功能模块,基于微信读书“社交+阅读”的产品定位,微信读书更希望用户在不知道读什么书的时候去查看好友在读书籍,而不是直接进入书城。
如果用户直接进入书城,那么微信读书和其他阅读app就没有本质差别了,所以“书城”隐藏在“发现”页面的二级入口处,没有在tab栏中。
阅读模块是每一个阅读app的基本功能模块,并且阅读功能是点击书籍才可以启动的功能,点击tab是无法启动的,所以无法放在tab栏中。
想法模块在之前的微信读书版本中,是位于tab栏中的,但是经历了几次迭代以后,想法模块已经变得越来越隐蔽了,现在此功能在“看一看“模块中的右上角有一个不起眼的入口。
猜测原因有两个:
(1)用户使用频率不高。我关注了145人,本周在读书排行榜中有阅读时长记录的人为25人,在想法圈有动态的人数为4人,用户不发想法的原因推测和不发朋友圈的原因类似。(没有数据,仅为猜测)
(2)变现压力导致的寻找新的变现方法。微信读书培养了用户免费阅读的习惯,在拉新和留存用户方面取得了胜利,但是同时面临了变现的压力。
以前tab栏中的”想法“tab变成了”看一看“tab,点击进去可以看到该页面主要以信息流为主,故猜测是为广告变现做准备。


以卡片的形式呈现,用户可左右划动,我个人很喜欢这个形式,有种想不断划下去的冲动。
此处有一个隐藏功能,若不喜欢该推荐,可以长按推荐卡片,然后卡片本身会轻微放大,上方搜索框消失,出现“上划删除,删除后此书动态将不会再显示”的提示。
此功能隐藏较深,因为大概是因为就算不喜欢该推荐,直接划过去就好了,没有必要非得删除。
我之前对此功能进行了暴力测试:在关注145人的情况下,每划30个卡片(包括推荐卡片,活动卡片等各种卡片),若再继续往后划,则会出现“释放显示更多卡片”的提示;最多可以划出301张卡片,当划到300张时,显示“释放显示更多卡片”,再划出一张后,就不能再划了。猜测和关注的好友数量,以及对方读那本书的时间点(比如只显示近两个月之内读过的书籍)有关系。
推荐好友阅读书籍,尤其是当该好友是熟人的时候,可以引发用户的高度关注,用户可以根据好友在读书籍了解好友的近况,并且可以和好友同时阅读一本书籍,以增加深度交流的机会,也为读书提供了更强的动力。
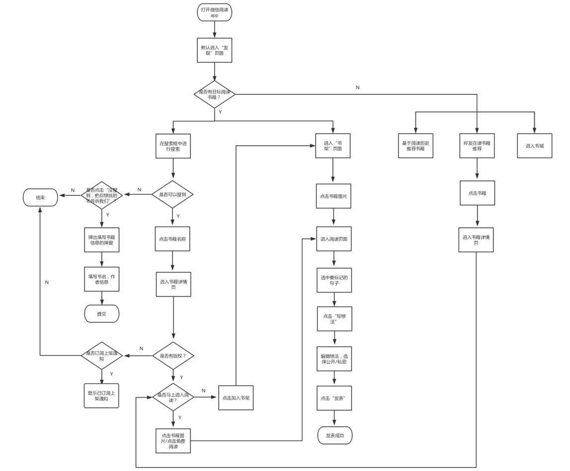
2. 进入阅读页面
作为一款阅读app,微信读书的基本功能页面就是阅读页面。App中有五个地方可以直接进入到阅读页面:
图中标记1的地方,在书架中点击书籍图片即可直接进入阅读页面。
图中标记2的地方,位于书籍详情页,点击左上角的书籍图片,同样可以进入阅读页面。
图中标记3的地方,位于书籍详情页,点击“目录”跳转至书籍目录,点击章节题目,即可进入阅读页面。
图中标记4的地方,位于书籍详情页,点击“免费阅读”,即可进入阅读页面。
图中标记5的地方,位于想法页面,点击朋友动态中的书籍内容,即可进入相关内容的阅读页面。
作为一款阅读app,阅读页面大概是最常用的页面,而进入阅读页面的五个入口,不仅体现出《微信读书》的细节设计很给力,同时也可以看出它希望用户无论停留在哪个页面,都可以随时随地的进入阅读。
3. 写想法功能
作为微信读书的特色功能之一的想法功能,是基于“社交+阅读“的产品定位打造的类似于微信朋友圈的功能,而想法页面的朋友分享的读书笔记都来自于此交互流程。
在用户发表想法的时候涉及到选择此条想法的状态是“公开“还是”私密,默认为“公开”状态。考虑到一些用户对隐私的重视,这也是一个贴心的设计。
推测默认为 “公开”状态的原因大致有两点:
一是利用用户惰性,如果用户懒得多一步操作改为私密,就会直接以公开形式发表到想法圈;
二是如果用户忘记改,也会直接以公开形式发表到想法圈;两种情况都以丰富想法圈的内容,提高用户活跃度为主要目的。
默认为“公开”的状态,并且在用户发了一条设置为“私密”状态的想法后,下次发送还是会默认为“公开”状态,使得每次用户想发送“私密”想法都需要重新进行设置。
这种笨拙的功能设计与以卓越的用户体验著称的腾讯公司的做法不符,所以大概是有意为之,可见微信读书为了让用户敞开心扉,去交流讨论所思所想,也是操碎了心。
羊皮纸般的阅读背景,长按文字划线/写想法的功能,并且在发表想法以后点击左下角的显示本页想法数量的标签,就可以在此页面看到展示自己想法的浮窗(也可以看到别人的),打造了一种现实中记读书笔记的体验。
有人认为“社交”的特性不利于用户进行深度阅读,因为他们觉得他人的想法会影响到自己,但我觉得恰恰相反。
深度阅读肯定离不开深度思考,但是每个人都具有思维定势,也就是说个体习惯了自己固有的思维方式,很难从其他角度去思考问题,这导致我们看不到问题的全貌和其他的解决方案。
查理·芒格经常引用一句话:“在手里拿着锤子的人看来,世界就像一颗钉子。”
“社交”这一特性,可以让用户在平台上看到其他用户的读书想法,从而去了解其他人看世界的角度和思考问题的方式,当用户看到了一种深思熟虑过的,却又与自己全然不同的想法,也就又扩大了自己的认知边界,而这也正是深度思考的意义吧。
4. 亮点交互微信读书进入阅读页面的交互为书籍从原始位置慢慢翻开并放大,直至填充整个页面,为用户营造了一种在现实生活中翻开书的体验。这种细节的设计,也体现了微信读书追求极致的用户体验的精神。
“摇一摇”功能,微信读书的摇书功能给了用户一种全新的交互体验,让用户在“摇书”带来的与众不同的交互体验和对摇出来的书籍的好奇心之中找到了乐趣,将阅读app游戏化设计。(摇出的书籍为基于阅读历史推荐的和基于好友在读推荐的,做推荐功能之用)
六、产品的迭代与运营路径(主要列出重大版本迭代) 1. 产品迭代分析
根据得到产品的迭代轨迹,可大致分为四个阶段:
第一阶段,1.0~1.5.9版本期间,处于探索期,目的在于明确产品定位,完善基本功能
第二阶段,2.0~2.4.10版本期间,逐渐丰富功能和内容类型,上线朗读,听书,听“深度解读”,听电台等功能,上线公众号文章,漫画等内容,满足更多用户的需求和应用场景,并且完善各功能细节。这两个阶段属于早期阶段,产品功能和内容基本确定。
第三阶段,3.0~3.6.3版本期间,主要是探索读书付费服务,推出无限卡会员,购买后即可免费阅读全场书籍;探索新的运营拉新模式,利用产品功能留存用户等;继续优化功能细节和页面展示。
第四阶段,4.0~4.5.1版本期间,对产品功能模块进行调整优化,将“想法“模块升级为”故事“,后又升级为”看一看“,探索“看一看”信息流的推荐功能及广告变现模式,同时优化各功能细节。
2. 运营路径分析微信读书背靠微信这座巨大的流量池,有着天然的运营优势。微信读书的运营基本都是基于微信关系链展开的。微信读书的运营路径可以概括为:多样化的邀请活动——丰富的邀请理由——强制点击的邀请机制。
多样化的邀请活动:
利用用户喜欢“薅羊毛”的心理,设计了多样的邀请活动。
丰富的邀请理由:
分享以后可以免费领取书籍,可以获得阅读无限卡,对于活跃用户来说极具吸引力。
对于不那么活跃的用户来说,即使现在不想阅读,可以先存着,等着以后用,何乐而不为呢。
并且对于喜欢经营人设的用户来说,还可以塑造自己爱读书爱学习的形象。
强制点击的邀请机制:
用户分享以后,被分享的用户必须点击领取/点击加入,才完成了该功能的闭环,否则分享无效。相比起分享之后无所谓有没有点击的方式,微信读书强制点击的方式大大提升了拉新和传播的效率。
微信读书的运营活动有8种——分享免费领,分享得联名卡,翻一翻,分享本周飙升榜,邀请朋友得无限卡,组队抽取无限卡,问答pk,读书小队,都符合以上的机制。
微信读书另一运营方式,则是根据小说改编的热点电视剧,上线相关小说并在App Store中进行宣传,《庆余年》《将夜》《斗罗大陆》《锦衣之下》等大IP,已经位于微信读书的排行榜之中了,最重要的是因为无限卡活动,大部分用户是可以免费阅读的。现今《庆余年》处于小说榜单的首位,可见产品和运营人员十分懂得用户心理。
七、产品数据表现 1. 产品排名
微信读书近一年在图书类榜单中最高排名为3,最低排名为9,可见后起之秀的实力不容小觑。


我们在微信上24小时期待你的声音
解答本文疑问/技术咨询/运营咨询/技术建议/互联网交流