扫二维码与项目经理沟通
我们在微信上24小时期待你的声音
解答本文疑问/技术咨询/运营咨询/技术建议/互联网交流
编辑导语:电商风口仍在,生鲜电商则是电商拓展的领域之一。与此同时,短视频的市场份额也在明显增长。那么,生鲜电商+短视频App是否能具有发展前景?本文作者便结合行业背景与市场需求做出了一份生鲜电商App产品需求文档。也许读完之后,可以启发你的思路。

中国生鲜电商市场规模稳步增长,预计到2022年生鲜电商B2C市场交易规模将达到13811.5亿元。近年来传统商超、互联网巨头、初创公司纷纷入场线上生鲜到家业务,一时崛起各类商业模式的生鲜电商平台。
另一方面,在全民参与短视频的时代背景下,以抖音、快手为主的短视频分享平台,以及知乎、B站,用户关注度最高的内容是美食制作类视频。所以,本文作者以此现象为出发点,试想设计一款短视频+生鲜电商的C端APP,与大家分享。
一、前言
生鲜电商的定义:生鲜电商是指利用互联网平台,并通过自建物流或者第三方物流将采购的生鲜农副产品、加工食品即时送达消费者的企业。
2005年易果网成立,标志生鲜电商起步,且经过疫情的助推后,生鲜电商迎来了全面发展。
整体上,无论是政策环境、基础建设、技术,还是社会环境,各个关键性因素都是利于生鲜电商发展的。
在政策环境上,据不完全统计,2019年政府出台的与农业农产品、冷链物流相关的政策规划超过40项,多维度指导农业和冷链物流健康发展。
经济环境上,根据艾媒报告《2019中国生鲜电商行业商业模式与用户画像分析报告》,2018年市场规模已突破千亿,且2018年居民人均可支配收入约为28228元,同期增长8.7%。居民人均可支配收入的增长,使得消费支出增多,促进零售业发展。
另外,根据易观分析发布的报告《中国生鲜电商市场年度综合分析2020》,2019年生鲜电商B2C市场交易规模为5449.4亿元,并预计2022年生鲜电商B2C市场交易规模将达到13811.5亿元。

在经历了多年用户习惯培养和厂商运营区域的扩张,生鲜电商活跃用户今年实现稳步增长,全网活跃用户渗透率由2017年的2.0%提升到了4.2%。
根据易观分析报告《中国生鲜电商市场年度综合分析报告》,2019年全网活跃用户全年季度同期增速平均增速超过20%,在新冠疫情影响下,生鲜电商迎来流量红利期,2020年一季度活跃用户相较同期增加65.7%。
另外,在生鲜电商平台精细化运营下和用户线上生鲜购物习惯养成后,生鲜电商行业在日活、人均单日启动次数、人均单日使用时长三个维度均有不同程度的增长。受疫情影响,生鲜电商的渗透率大大提高,APP使用显示出高频特点,用户平均3-5天使用一次。
另一方面,根据艾瑞网《2020年中国咨询短视频市场洞察白皮书》显示,2020年中国资讯短视频用户最关注的内容领域TOP10中,生活、饮食、健康等更加贴近日常生活的资讯的关注度排第二,占比60.8%,而第一是时事新闻类,占比70.4%。所以,生鲜电商APP中插入以美食制作为主的短视频方式具有很大的发展空间,利于提高用户下单率。

根据用户实际线下生鲜购物场景,分析得出目标用户的生鲜购物需求如下,接下来的产品一期规划,将围绕用户需求,进行产品设计(此处只罗列用户的部分需求)。

产品名称:“一品鲜”。
产品说明:“一品鲜”APP是一款满足消费者日常线上购买生鲜农副产品需求的软件,是一个面向全年龄的线上购买生鲜农副产品的电商平台。消费者通过软件下单,可以到附近门店自提或者配送,配送半小时达。同时,用户可浏览发布的美食制作视频,购买视频中的食材。
产品宗旨:走进您生活,为您提供超一品的生鲜服务。
2. 产品定位B2C、C2C,线上线下生鲜到家服务。
3. 产品特点B2C模式:线上购物,线下即时配送;
C2C模式:在APP中植入当下最受欢迎的美食短视频,用户可浏览美食短视频,并购买视频中同款商品。
4. 服务方式C端APP。
四、产品说明 1. 功能结构图

产品含有的一级页面有:《首页》、《分类页》、《中间页》、《购物车页》、《个人中心页》。由于这5个页面的产品结构图放一张图显示时,画面不清晰,故将产品结构图拆分为上、中、下三部分显示。



根据用户需求、产品结构图,分析罗列出产品一期的需求,需求列表如下(此处只罗列部分需求)。

账号状态分为:已登录/未登录;
未登录状态只可以浏览商品,搜索商品,并将商品加入购物车;
已登录状态可以使用APP全部功能;
开通会员的账号可以按会员价购买,可以购买会员专区商品;
申请开通发布视频权限的账号(已认证账号),可以发布视频。


APP初次启动时,会提醒用户无线数据使用权、位置权限使用权、消息通知允许权;若用户不允许使用网络,则页面报“断网”异常;若用户不允许使用位置权限,则无法定位用户城市,定位显示为“未识别”,APP推送内容为默认内容;若用户不允许消息通知,则不推送给用户外,APP内消息页仍保留新消息提醒样式。
APP初次启动,或者用户协议有更新时,都需要用户同意用户隐私协议;若用户不同意,则报错并自动退出APP。
APP初次启动或者更新时,跳出广告轮播图;用户可以点击“跳过”直接进入到最后“开启生鲜之旅页”;用户点击“开启生鲜之旅”后进入首页。
3. 键盘交互输入框输入内容与手机号码相关的,则由页面底部弹出数字键盘;否则弹出字母键盘。
4. 账户异常




















本期为一品鲜APP一期产品设计,主要内容是APP整体框架搭建和实现基本功能,未对三级页面、页面功能细节、交互做详细阐述,请谅解。
与前台相匹配的后台系统、工单APP这部分内容,暂不在本文阐述。
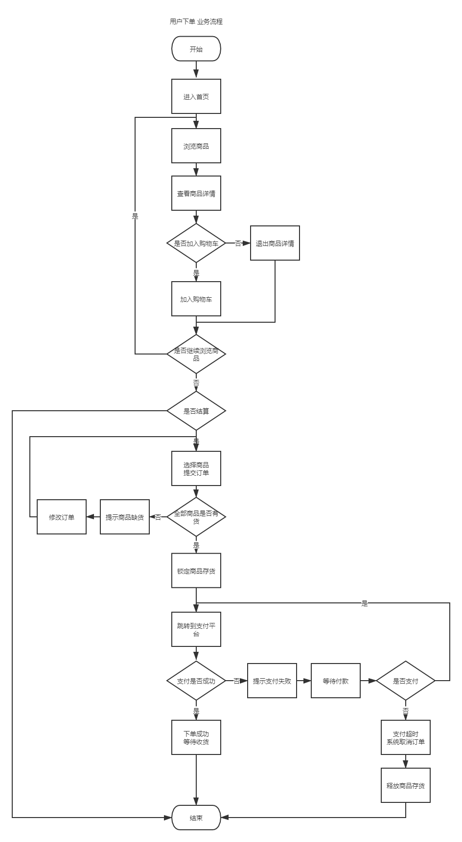
本期核心功能:对用户浏览商品——购物——支付整体框架的搭建,另外增加了以短视频方式带货的中间页设计。
以上仅是我个人的拙见,不足之处还望各位大神纠正!

我们在微信上24小时期待你的声音
解答本文疑问/技术咨询/运营咨询/技术建议/互联网交流