扫二维码与项目经理沟通
我们在微信上24小时期待你的声音
解答本文疑问/技术咨询/运营咨询/技术建议/互联网交流
编辑导语:猫耳FM(M站)是第一家弹幕音图站,同时也是中国声优基地。在猫耳FM,你可以听电台、音乐、翻唱、小说和广播剧。本文作者在对猫耳FM进行了体验之后,撰写了本篇产品需求文档。



对二次元文化感兴趣,喜欢好听的声音和有声作品的年轻群体。
2.2 用户—场景—需求分析
由用户-场景-需求分析得出目标用户的主要需求,并根据KANO模型将需求分级。






登录状态下可进行所有操作,未登录状态下:
有声剧:可以收听免费剧集,分享、下载剧集;不可购买剧集,不可添加至喜欢、收藏列表,不可投食、评论、发送弹幕或关注该UP主。非首次使用可以在播放页面继续收听,也可以看到之前的播放列表;首次使用可以搜索发现喜欢的剧集。
直播:可以收听喜欢的主播,不可以发送聊天内容、送礼物、提问。
手机恋人、运势语音、全职高手角色语音包:不可使用。
4.2 键盘交互点击手机号、验证码输入框,页面底部弹出数字键盘;点击其他输入框,如搜索、聊天、评论、弹幕等,页面底部弹出字母键盘。
4.3 页面异常




6.1.1 页面流程图

6.1.2 页面名称:登录注册页面
6.1.3 页面入口
未登录状态下,用户点击喜欢、收藏、投食、关注、弹幕、评论、聊天、礼物、购买、我听自动进入登录页面,打开特色功能,如全职高手角色语音包、微信男友也会进入登录页面。
6.1.4 前置条件:网络连接正常
6.1.5 逻辑与交互说明
手机号/邮箱密码登录:在输入框内输入账号密码,系统判断该账号类型为邮箱还是手机号,同时对不合法手机号进行提示,账号密码均正确则登录成功,进入“我的”页面。
海外手机号登录:选择海外手机号登录,选择国家或地区,之后流程同手机号登录。
第三方授权登录:猫耳FM提供的第三方登录方式包括哔哩哔哩、QQ、微信和微博,点击任意第三方按键,跳转至第三方授权页面,非首次使用该方式,则自动跳转登录成功。首次使用该方式时,同意授权后需绑定手机号,若该手机号为已注册账号,则登录成功,进入“我的”页面;若该手机号为新账号,则进入个人资料编写页面,需输入昵称且设置密码,之后进入“我的”页面。
立即注册:点击“立即注册”,进入注册页面,选择国家/地区,输入手机号,点击获取验证码,系统判定该手机号是否合法,对不合法手机号进行提示,合法手机号判定是否为已注册账号,已注册则提示”该账号已注册“,未注册则发送验证码,验证成功后需设置昵称及密码,完成后进入”我的“页面,可在此页面中绑定邮箱,之后使用邮箱密码登录方式。
忘记密码:点击“忘记密码“,进入找回密码页面,输入手机号或邮箱,系统判定该账号是否为注册账号,是则发送验证码,验证成功后可修改密码;若一般方式不可用,可选择人工申诉重新设置密码。
进入子页面只能选择点击,但从子页面返回可以右滑。
6.1.6 优化建议
当前版本(ios4.5.5)的注册登录流程过于繁琐,且注册与登录是分开的,建议
将注册模块取消,直接未注册用户登录即自动创建账号;
添加手机号验证码登录方式。
6.2 首页-推荐6.2.1 页面流程图

6.2.2 页面名称:首页-推荐
6.2.3 页面入口
启动App直接进入首页-推荐页面;点击主菜单“首页”进入该页面。
6.2.4 前置条件:网络正常连接
6.2.5 逻辑与交互说明
点击搜索框,进入“搜索”页面;
点击下载图标,进入“下载资源”页面,可在此处查看已下载及缓存中的资源;
点击“直播”或页面整体右滑,进入“直播广场”页面;
点击“分类”或页面整体左滑,进入“分类”页面,在此处可依据分类标签搜索发现内容:为banner推荐区,推荐今日火爆或上新剧集,每3秒自动切换,可左右滑动查看,点击剧集图片可进入“播放”页面;为主要功能展示区,可左右滑动查看五个主要功能“直播”,“广播剧”,“放松”,“猫耳商城”,“启动音”,点击任意icon可进入相关页面;为特色功能推荐区,每3秒自动切换,可左右滑动查看两个主要特色功能“运势语音”及“全职高手角色语音包”,点击即可进入该页面;为直播推荐区,可左右滑动查看此时在播的优质直播间,点击即可进入该直播间;为内容推荐区,可上下滑动查看推荐的优质内容,点击即可进入该内容;
底部为主菜单栏,点击任意icon可切换至相应页面,处于该页面时,页面icon为黑色,非处于该页面时,页面icon为灰色。
6.3 首页-直播6.3.1 页面流程图

6.3.2 页面名称:首页-直播
6.3.3 页面入口
“首页-推荐”页面右滑或点击“直播icon”;“发现”页面点击“直播间”
6.3.4 前置条件:网络连接正常
6.3.5 逻辑及交互说明
为banner推荐位,推荐内容不定,每3秒自动切换,可左右滑动,点击即进入相关内容;
为主播榜单,展示主播小时榜、今日榜、周榜、月榜,每3秒自动切换,可左右滑动,点击即进入榜单排行页面;
为直播分类,可左右滑动查看总分类,点击任意类别即推荐相关直播;
为直播推荐,可上下滑动查看推荐直播,点击任意直播间封面即进入该直播间;
整体页面可上下滑动,左右滑动则在首页三个页面之间进行切换。
6.4 首页-分类6.4.1 页面流程图

6.4.2 页面名称:首页-分类
6.4.3 页面入口:“首页-推荐”页面左滑或点击“分类”
6.4.4 前置条件:网络连接正常
6.4.5 逻辑及交互说明
为所有类别展示,点击相应类别icon即可进入相关页面,如“有声漫画”,“广播剧”;
为内容推荐区,可上下滑动,点击封面即可进入相关内容播放页面;
整体页面可上下滑动,左右滑动在首页三个页面之间切换。
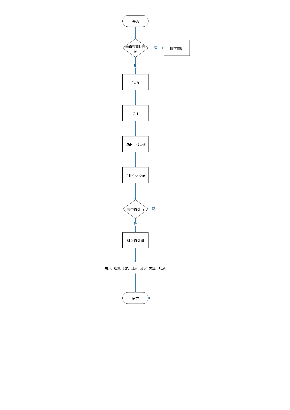
6.5 直播间6.5.1 页面流程图

6.5.2 页面名称:直播间
6.5.3 页面入口
首页-推荐直播点击
首页-直播,在直播广场中点击感兴趣的直播
发现-直播间,点击感兴趣的直播
我的-关注-关注的主播直播间
6.5.4 前置条件:网络连接正常,主播正在直播
6.5.5 逻辑及交互说明
为主播信息介绍,点击可进入主播个人空间,点击“关注”可关注该主播;
点击聊天框可打开字母键盘,输入聊天信息;
点击“电话icon”可与主播连麦;
点击“提问icon”可付费向主播提问或留言;
点击“分享icon”可打开分享框,向第三方平台分享;
页面左右滑动可以切换直播间。
6.6 播放6.6.1 页面流程图

6.6.2 页面名称:播放
6.6.3 页面入口
点击“播放icon”继续播放上次内容
点击任意内容进入播放页面
6.6.4 前置条件:网络连接正常(仅支持播放内容);用户已登录(可进行所有互动操作)
6.6.5 逻辑及交互说明
为互动项列表,点击相应icon则完成分享、喜欢、下载、收藏及投食操作;
为简介与评论区,可点击“简介”与“评论”进行切换,正在展示的部分icon为黑色,且有黑色下划线,未在展示的部分icon为灰色;可上下滑动查看相关内容。在简介部分有相关剧集的介绍,用户可选择“追剧”将该剧集添加至追剧列表;在评论部分,首先展示热度较高的评论,然后展示按时间排序最近的评论,用户可选择留下评论、对他人的评论进行回复、表示赞同/不赞同或进行举报;
点击可进行分享与设置操作,包括分享至第三方平台、定时关闭、弹幕设置、设为铃声、历史记录、举报等操作。
页面右滑可回到上一级页面。
6.7 我听6.7.1 页面流程图

6.7.2 页面名称:我听
6.7.3 页面入口:菜单栏点击“我听”
6.7.4 前置条件:网络连接正常且用户已登录
6.7.5 逻辑及交互说明
处可查看自己下载、收藏、购买以及之前收听的历史记录内容,点击即进入相关页面;
为追剧栏,可左右滑动查看自己追的剧集,点击剧集封面即可进入“播放”页面,也可点击“查看全部”进入“追剧”页面;
为动态栏,在此处可以看到自己关注的up主或剧集的最新动态,点击封面即可进入“播放”页面;
为“追剧”详细页面,提供”最近更新“、”最新追剧“、”最近收听“三种查看方式,可点击三种标签进行切换,但不可左右滑动,点击的标签呈现灰色底部、橙色字体,为点击的标签为灰色字体;
底部为菜单栏,可点击切换各个主页面,页面不可整体左右滑动;
由该页面打开的子页面可通过右滑进行返回。
6.8 我的6.8.1 页面流程图

6.8.2 页面名称:我的/个人中心
6.8.3 页面入口
首次登录/注册成功后自动跳转至“我的”页面;
菜单栏点击“我的”进入该页面;
6.8.4 前置条件:网络连接正常
6.8.5 逻辑及交互说明
6.8.5.1 为个人昵称展示区,点击该区任意位置可跳转至“个人空间”页面;
6.8.5.2 可看到自己购买的剧集、上传的音频信息,也可看到自己关注的up主及粉丝,点击相关内容可进入详情页面;
6.8.5.3 区可查看及进行一些简单设置,包括:
启动音:启动音为打开app时伴随的音频,一般内容为各广播剧/动漫中的经典台词,可在此设置特定的启动音,也可设置为随机出现;
闹钟:点击可进入“铃声”界面,此处为声优录制的或up主上传的简短音频,可选择将自己喜欢的内容设置为闹铃;
定时关闭:此功能推荐入睡时使用,用户可自主设置该功能为不开启、播放为当前音、10分钟后、30分钟后、60分钟后、90分钟后、自定义,并且可选择如果时间已到,是否播完整首再关闭;
帮助中心:在此处可以进行bug反馈、联系客服,也可看到一些常见问题的处理方式;
日常任务(需登录后使用):用户在此处可获得小鱼干(app内用于投食以表达对音频的喜爱和赞赏),需用户完成签到、抽奖、投食、评论及分享即可领取相应小鱼干;
主题切换:可切换简洁白与夜间模式;
我的追剧:点击进入“追剧”详情页;
我的消息:点击进入“消息”详情页,可查看自己收到的评论、@、点赞、系统通知以及私信,可在此页面进行消息设置,包括是否接收未关注人消息以及黑名单管理;
我的钱包:点击进入“充值”页面,可进行钻石(可用于购买剧集、直播间礼物以及app特色小游戏)充值,也可查看自己的交易记录;
直播中心:点击进入“直播中心”页面,可查看自己在直播方面的相关信息,以及申请直播间直播;
猫耳商城:进入“商城”页面,可挑选相关二次元衍生品进行购买(人民币);
青少年模式:可选择开启青少年模式,在此模式下,用户只能收听适合青少年收听的内容,且不能进行充值操作。
6.8.5.4 可打开设置界面,此界面的功能包括:
个人资料:可进行头像、个人主页背景、头像音、昵称、性别、生日、个性签名的设置与修改,也可查看自己的M号;
账号与安全:可进行邮箱、手机号、QQ账号、微博账号、微信账号、bilibili账号的绑定,也可进行密码的设置与修改;
听音频免流量:购买了哔哩哔哩专属流量卡或办理了哔哩哔哩免流量套餐包的用户,可以在猫耳FM享受听音频免流量的服务;
2G/3G/4G播放与下载开关;
推送开关;
原音音质开关;
消息设置:可选择是否接收未关注人消息以及黑名单管理;
网络诊断;
弹幕设置:包括同屏弹幕密度、滚动弹幕速度、中间弹幕停留时间、弹幕透明度、弹幕描边宽度以及设置屏蔽关键字;
清理缓存:可清除图片及音乐的缓存;
版本更新:有新版本时提示更新;
关于M站:可查看M站的微博、邮箱、QQ反馈群、微信公众号、官方网址相关信息以及去App Store评分;
退出登录:退出当前帐号。
7. 总结猫耳FM是一款正在成长的产品,在二次元文化日益繁荣的现在,拥有庞大的IP改编和声优粉丝,专注于声音领域, 猫耳已经抢占了先机,但依旧有需要完善的地方(来自用户体验以及七麦数据用户评论):
登录即注册功能:不能实现手机号验证码一键登录,未注册用户登录即自动创建账号的功能(最新版本已解决);
前进后退功能:音频播放中会出现经典台词或经典片段,不能设置前进后退15s,用户自行拖拽进度条很麻烦;
跳过片头片尾功能:在放松或入睡时收听剧集时,突然响起的片头片尾声音很大;
直播回放功能:希望能够添加直播回放的功能,当前只能声优投稿直播音频,不能回放直播。
产品小白一只,文章有不足的地方希望大家多多指教~万分感谢~

我们在微信上24小时期待你的声音
解答本文疑问/技术咨询/运营咨询/技术建议/互联网交流