扫二维码与项目经理沟通
我们在微信上24小时期待你的声音
解答本文疑问/技术咨询/运营咨询/技术建议/互联网交流
随着自媒体的发展,各个电商平台开始转型,未来几年也会是这一趋势,普通用户以及网红的带货能力提升,人们也原因花时间和流量在观看其他人的分享,普通人也可以是形象代言人,而毫无疑问这种形式的代言成本基本为零。但是产品不一定都是一成不变,每个产品依旧有自己的产品定位以及主打服务。

分析大纲:


早期的线上购物主要在淘宝网,球鞋文化只存在于各个篮球论坛之间。2013年nice网出现,定位为潮流分享平台,2014年虎扑上线旗下导购产品“识物”,2015年虎扑装备区分离出产品“毒”,提供球鞋鉴定服务。随着球鞋文化的渗入,各个平台在往后三年内全部完成潮流分享社交,球鞋交易服务。

自2014年以来,人们对潮流服饰,球鞋的需求日益增长,涌现出多个线上交易、分享平台。2015年Get首先开创运动吗装备社区,随后多个体育资讯平台,潮流分享平台以及电商平台都相继打开球鞋交易服务,也正因如此,各个平台的推广吸引了更多年轻人关注潮流关注球鞋。
在大部分投资家眼中,也看到了这一发展前景,nice、蜂潮等都收到了大笔融资,nice于2019年6月完成D轮融资TPG软银合资基金、元璟资本共同领投;斗牛(原名“蜂潮”),2016年创立也于2019年完成近千万美元的A轮融资。
1.2 市场现状鞋服是人们必不可少少的东西,随着时代发展,人们生活品质提高,对衣物,鞋子的要求也不简简单单的是遮羞布,好看和吸引眼球成了新需求,这也促进了对潮流鞋服的消费,在互联网时代,线上消费也早已成为消费的主战场。


由图可见运动鞋市场在逐年提高,尤其2016年以来增长率也显著提高。
而在全国范围内运动鞋的消费主力军为80、90后,所以目前平台面向人群为年轻人,其中不乏已经结婚生子的人,可以在其中加入童鞋,童装信息。
线下的获取球鞋、潮服的渠道单一,并且货量少,除部分一线城市有线下专卖店发售,其他地区城市的消费者要线下购物成本高,无法面向全国各地的用户,因此线上的发展成为主要趋势。但是线上的购物网站渠道消费者担心买到假货,消费者需要一个在行业有威信,能够给消费者承诺的平台。此外,C2C模式解决了“求购无门”的窘境。
因此,线上独立平台成为消费者更为信赖和需要的线上购物方式。目前活跃在线上的类似平台除了以上三种,还有斗牛、有货UFO,get球鞋指数,以及国外的平台,竞争还是相对大的,但是在国内市场主要是“得物”为领头羊。
1.3 融资情况在大部分投资家眼中,也看到了这一发展前景,nice、蜂潮等都收到了大笔融资,nice于2019年6月完成D轮融资TPG软银合资基金、元璟资本共同领投;斗牛(原名“蜂潮”),2016年创立也于2019年完成近千万美元的A轮融资。2018年得物(毒)获得高榕资本、红杉资本中国、普思资本的数千万美元融资,脱离虎扑独立运营。
2. 竞品分析 2.1 竞品介绍

2019年得物(毒)在各大数据平台显示均稳居第一,尤其6月、11月和12月,独立设备数超600万,但是nice由于转型较晚,相比于其他两个平台明显存在劣势。但是得物(毒)的数据起伏较其他两个更大,初步推断与其用户体验有关。

得物(毒)两个系统版本用户评分

nice两个系统版本用户评分

识货两个系统版本用户评分
由以上三个图显示,两个系统版本得物(毒)的用户评分均低于其他两个平台的用户评分,这也说明了得物(毒)的月设备数起伏大是因为用户体验不满意。但后几个月又出现增长,可能是因为系统优化,也可能是用户使用习惯了。但综上多个表反映情况,预计未来一年识物会赶上得物(毒)。
2.3 用户群体三个平台的用户群体大致相同:
(1)所在地

得物(毒)使用区域占比

nice使用区域占比

识货使用区域占比
三个平台的用户主要分布在东、南部经济相对发达的省份地区,这些省区的人均收入较高,对商品的需求更高,同时这些省区的大型活动更多,如NBA球星“中国行”,以及潮流会展,接触潮流服饰,球鞋的机会更多。而更靠内陆的省份的经济消费水平较弱,人口也相对较少,因此使用人数更少一些。
(2)年龄段
由全国运动鞋购买年龄阶段比例图可大致推断平台使用的人群年龄比例为20~35岁年轻人。

得物(毒)使用人群年龄占比

nice使用人群年龄占比

识货使用人群年龄占比
由艾瑞数据提供的数据可知,如推断那样35岁以下年轻人为主要使用人群,其中得物(毒)、识货的用户中24岁以下的人占比最多,而nice则是25~30岁最多,可能与nice出现的时间更早有关,使用人群的年龄更大一些。
综上表可推断的得物(毒)更受年轻人喜爱,使用的人口基数最大,24岁以下年龄占比又最大。
(3)性别比例

得物(毒)使用人群性别占比

nice使用人群性别占比

识货使用人群性别占比
由艾瑞数据提供数据可知三个平台女性用户占比都比男性占比高,nice女性用户更是比男性多出5个百分点。

由艾媒数据中心提供数据,2018年的运动鞋消费人群性别占比可知,男性占比更多。但是以上三个平台的女用户占比均高于男性,可推断三个平台的潮服交易、分享交友吸引女性用户。
2.4 盈利模式2.4.1 得物(毒)
商品交易:C2C模式,为卖家,买家提供交易平台,收取手续费。
以下为了解到得物(毒)的卖鞋手续费收取制度:

装备鉴定:平台鉴定服务收取费用,平台有自己的金币可以充值,现金金币比为1:100,一人民币等于100金币;鉴定一次需要5元。新用户有免费鉴定服务机会。
下图为完整商业模式:

2.4.2 nice
商品交易:C2C模式,nice提供交易平台,收取手续费。
由于nice转型较晚,用户量相对较少,且鉴定师少省去部分员工开销,因此手续费相对于得物(毒)更少。此外,nice的购买周期更长,期间每双鞋的资金暂存在平台,可以利用时间差投资理财。
直播礼物:nice开放直播功能,用户可以充值为主播刷礼物,平台获取分成。
以下为完整商业模式:

2.4.3 识货
商品交易:C2C模式,用户出售二手球鞋,平台收取分成。
广告收益:首页有广告位,收取广告费。
其他电商平台合作:其中有其他电商平台,例如京东、天猫商城等;为他们提供底价资讯,可跳转至该电商平台,收取一定费用。
以下为完整商业模式:(有限资源内未获得准确金额)

2.5.1 得物
(1)对于普通用户
提供大量优质的潮流、球鞋资讯;
发放优惠券,发布抽奖活动;
免费装备鉴定服务(现在只用新用户享受有限次数的免费鉴定);
发起社区分享的主题活动,吸引用户参加活动,分享自己的潮流故事;
请明星开通账号,参与社区分享,即保留原有用户又能吸引新用户。
(2)对于出售货物的用户
提供预售、现货、求购多种交易模式;
鉴别通过立即结算,当天回款无账期;
仓库周转全程监控;
有专线卖家客服。
2.5.2 nice
(1)对于普通用户
提供潮流资讯,发布球鞋发售信息;
发放优惠券。
(2)对于出售货物的用户
收取低手续费,可以无成本上架,不必每次缴纳保证金,顺丰发货优惠;
可以对货品批量调整价格;
可以无成本求购。
2.5.3 识货
(1)对于普通用户
提供大量优质的潮流、球鞋资讯;
发放优惠券,提供低价商品;
免费装备鉴定服务(现在只用新用户享受有限次数的免费鉴定);
发起社区分享的主题活动,吸引用户参加活动,分享自己的潮流故事。
(2)对于出售二手球鞋用户
发货立即打款,商品照片平台代为拍摄;
提供60天免费仓库。
(3)对于商家
商家平台名称,店铺名称显示在货品下方,为平台,店铺引流。
3. 核心功能分析 3.1 得物功能分析商品交易:可以购买全新商品或二手商品,也可以出售全新商品或二手闲置物品;抽奖活动获取抽奖码可以参与抽奖0元购;球鞋文化近年来迅速融入中国内陆,球鞋市场呈现新的景象,但是由于球鞋货量,售价等原因一级市场供不应求,促使二级市场成为主要球鞋交易市场。
社交分享:可以发布自己的心情,商品等动态,也可以看其他用户动态;在这之中可以关注用户,评论动态,动态点赞等互动操作;虽然线下有许多例如sneaker con等球鞋文化交流、交易活动,但是其影响力在互联网时代比起线上的文化推广就略逊一筹,用户上传球鞋潮服动态,线上交流形成社群,不论是对文化的宣传还是商品交易,这都是更好的途径。
装备鉴定:上传装备照片或选择鉴定师进行鉴定,用户有免费鉴别体验,体验次数用完后需要付费鉴别。对网络购物存在的怀疑依旧存在,商品的真假是消费者最为关心的事情,装备鉴定就显得尤为重要。
得物功能结构图:

商品交易:商品交易:可以购买全新商品或二手商品,也可以出售全新商品或二手闲置物品;
社交分享:可以发布自己的心情,商品等动态,也可以看其他用户动态;在这之中可以关注用户,私信用户,评论动态,动态点赞等互动操作;
直播:用户可以进行直播,观看直播,为主播刷礼物,礼物需要充值,主播收到礼物后可以根据协议拿到分成。
nice功能结构图:

购买商品:购买低价商品,给出电商平台、店铺的报价,提供入口进入平台或店铺购买,也可以购买二手商品;出售二手闲置物品;
社交分享:可以发布自己的心情,商品等动态,也可以看其他用户动态;在这之中可以关注用户,评论动态,动态点赞,收藏等互动操作;
装备鉴定:上传装备照片或选择鉴定师进行鉴定,用户有免费鉴别体验,体验次数用完后需要付费鉴别。
识货功能结构图:

3.3.1 相同功能
(1)社区分享:三个平台都有社区功能,用户可以在社区发布自己的动态,也可以看别人的动态。这样的功能对于平台而言,促进用户在平台购买商品,并且社区的形成有利于留住用户,甚至能够吸引更多的用户;对于用户而言,在社区分享中可以参考他人的照片来选择商品,在评论中咨询商品的使用后的感受,而且还能在社区交到喜好相同的朋友。
(2)二手商品交易:三个平台面对的主要用户群体都是年轻人,而这个群体的大部分用户由于收入不高导致消费水平不高,全新商品价位太高时,二手商品也成了不错的选择;此外年轻人的消费频率更高,有许多物品很快被新的物品替换,而旧的商品将其闲置出售成了大部分年轻人选择的旧物处理方式。
(3)其他基础功能:个人中心、设置、登录注册这些功能已经是每个需要登录APP的标配,来查看自己的信息已经设置自己的喜好。
(4)优惠券、抽奖活动:如今各大电商类的平台为了吸引更多的用户消费,优惠券、抽奖活动已经成了标配。
3.3.2 不同功能
(1)全新商品交易
Nice、得物(毒)都是C2C模式,平台作为交易的中介,用户之间交易。如此一来解决了“求货无门”的窘境,用户的商品选择更多,并且提供一个有组织有管理的平台能够在用户收到商品前鉴别商品的真假和质量,用户购买的时候对商品更加放心。
但是这样的价格统一,部分用户想要买到更低价的商品的愿望无法实现。而识货的交易方式是平台提供售价资讯集中,用户可以自行选择商品购买的价格和途径,可以做到“货比三家”。
于此同时,由于货源广,对商品的真假以及质量问题不能做到保证,因此有部分对平台持怀疑态度。
(2)装备鉴别
得物(毒)、识货都提供装备鉴别服务,而nice并无这个功能。肯由于得物(毒)、识货都同属虎扑旗下,鉴别师的工资开销相对更小,而nice由于刚刚转型或许可以省去这部分的开销。但是当下的市场假货也充斥着半壁江山,消费者需要这样的服务来给自己一个强心针,也可以通过这个维护自己的消费者权益,因此这个功能是能够吸引更多用户的。
(3)直播
三个平台目前只有nice依旧有直播功能,但是主播和观看直播的用户少,大部分的用户使用平台是为了购物,而大部分的商品参考已经在用户分享的动态中体现,对观看直播的兴趣不大。并且有更为专业的直播平台,因此使用直播的用户并不多。因此nice的直播功能入口也相对隐蔽,为其他重要功能提供展示空间。
4. 交互设计分析 4.1 注册登录操作流程4.1.1 nice注册登录操作流程


首先用户需要选择注册或者用已有账号登录,虽然选择的按钮颜色尽量的向背景色上靠齐,但是多个按钮显得一个简单的操作却又有点复杂。然后,若用手机号注册不止需要发送验证码,还需再次设置密码,对于部分用户而言这个步骤已经有点繁琐。
最后,微信登录,微博注册、微博登录这些按钮的功能以及界面一样,同样是需要第三方授权,该步骤有点复杂多余,或许可以合并选项,让界面更符合整体的简约风格。
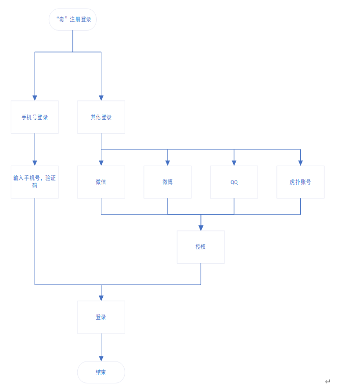
4.1.2 得物注册登录操作流程


得物的注册登录相对于nice简单许多,不论何种方式,登录即注册,省去大部分多余操作,简单,用户更易接受。
4.1.3 识货注册登录操作流程
同得物(毒)注册登录流程此外有最近登录账号登录功能

识货与得物一样同属“虎扑系”,无需注册,授权既可登录,此外在登录前,若此前登陆过账号,系统会给出上次登录账号,快捷登录。
4.1.4 注册登录操作流程对比分析
由以上流程图不难看出,nice与其他两个平台登录方式不太相同:首先要选择注册或者登录,如果选择注册,微博注册则只需授权,手机号注册则要发送验证码,并且要设置密码。

我们在微信上24小时期待你的声音
解答本文疑问/技术咨询/运营咨询/技术建议/互联网交流